PRISTUP INFORMACIJAMA
Početna
Start here
O općini
O Bosanskom Petrovcu
Načelnik
informacije o načelniku općine
Općinsko vijeće
Vijesti
aktuelne vijesti
BUDŽET
Budžeti općine Bosanski Petrovac
Službeni glasnici
E UPRAVA
Strategija razvoja
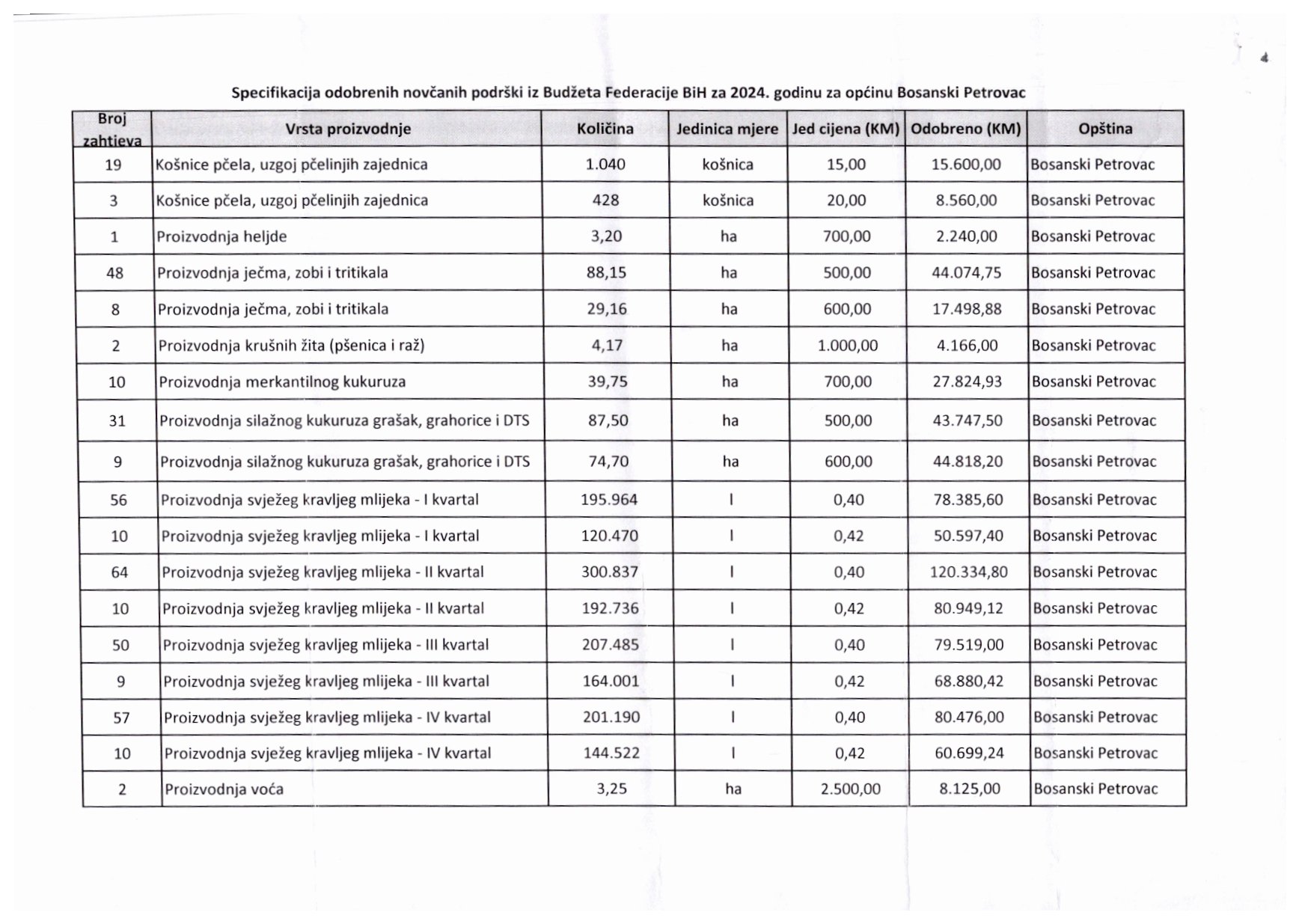
Informacija o ostvarenim novčanim podrškama za poljoprivrednu proizvodnju iz Budžeta FBiH i USK-a
Detalji
Objavljeno: 26 Februar 2025
JSN Megazine is designed by
JoomlaShine.com
ćirilica
latinica